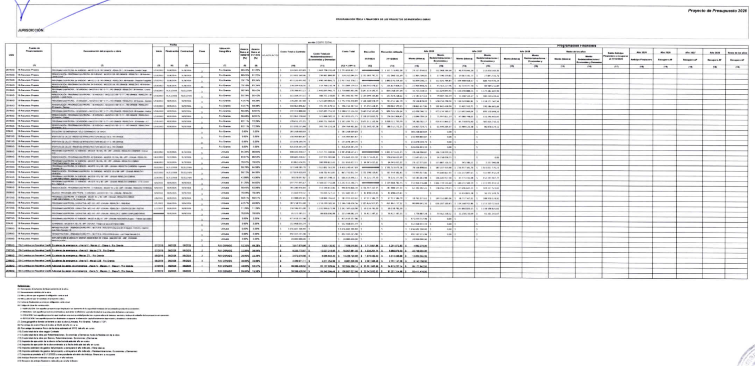
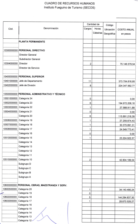
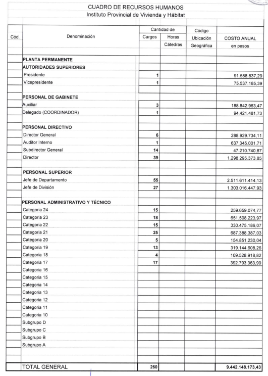
Proyecto de Presupuesto provincial TdF 2026